今天有病人跟我說,他因為怕胖,所以都喝零卡可樂來解饞。
但,喝零卡可樂真的不會胖嗎?
其實零卡可樂才是肥胖的大魔王!
主要三個原因:
第一:標示零卡不是真的零卡,事實上台灣的規定,只要每100毫升熱量小於4大卡的商品就能標示成「零卡」。也就是說,標示零卡路里的500毫升飲料,有可能最高會攝取到20大卡的熱量。
所以,不是標示零卡就真的沒有熱量。
·
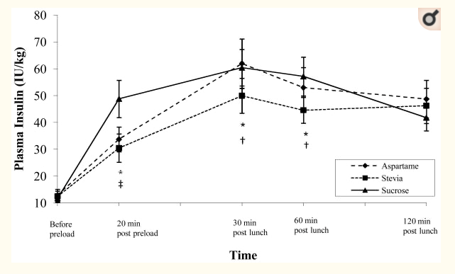
第二:零卡可樂中所添加的代糖(阿斯巴甜)會讓胰島素上升(見附圖,中間那條虛線就是阿斯巴甜)。而胰島素上升會導致身體儲存脂肪,變成易胖體質。
所以,代糖會讓你變成易胖體質。

·
第三:一直想吃甜食而不斷去買零卡飲料來喝,其實就是「糖成癮」,要治療糖成癮的重點是要「找出讓自己想吃糖的原因」,然後治標治本,而不是去買代糖飲料來自欺欺人。
所以,持續飲用就無法擺脫糖成癮症。
·
結論,今天黃醫師想告訴你,不要以為喝零卡可樂就不會胖,重點是要找出自己到底為什麼會想喝甜的(壓力大?睡不好?營養不均衡?吃太少?荷爾蒙混亂?),然後對症下藥,讓自己真正變成「打從心底不想吃甜的人」,才能真正減重成功喔!